• Помогите со степенями, не пойму как выходит 10^8, и 10^9.Если можно распишите.

    question img

Ответы 6

  • теперь все понятно,спасибо вам огромное за помощь
  • пожалуйста
    • Автор:

      ashlee
    • 6 лет назад
    • 0
  • подскажите еще пожалуйста,а если 2,2*10^8*3,42=7,2 то степень будет 10^8 или в 9?
    • Автор:

      baxter5
    • 6 лет назад
    • 0
  • =7,5 * 10^8
  • спасибо
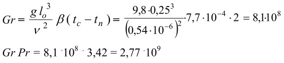
  •  \cfrac{9.8*0.25^3}{(0.54*10^{-6})^2}*7.7*10^{-4}*2=  \cfrac{9.8*0.015625*7.7*10^{-4}*2}{0.2916*10^{-12}}= \\\\ \\ =\cfrac{2.358125*10^{12}}{0.2916*10^{4}}=8.1*10^{12-4}=8.1*10^8 \\\\\\\\ 8.1*10^8*3.42 = 27.7*10^8=2.77*10^9
    • Автор:

      livia
    • 6 лет назад
    • 0
  • Добавить свой ответ

Войти через Google

или

Забыли пароль?

У меня нет аккаунта, я хочу Зарегистрироваться

How much to ban the user?
1 hour 1 day 100 years