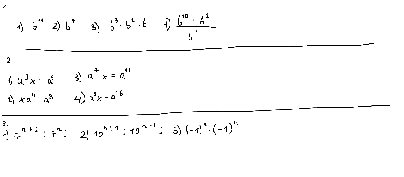
• ребят помагите пожалуста решить задания нужно упрастить лучшее решение дам кто решит обещаю помагите пожалуста очень нужно 

    question img

Ответы 1

  • Надеюсь будет понятно...
    answer img
  • Добавить свой ответ

Войти через Google

или

Забыли пароль?

У меня нет аккаунта, я хочу Зарегистрироваться

How much to ban the user?
1 hour 1 day 100 years