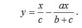
• По формулам дифференцирования найти производные функции
    Буду очень признательна))

    question img

Ответы 1

  • уштрих=1/с  - а/(в+с).P.S. Поскольку иксики в первой степени, просто "снимаем" их - и всё.
  • Добавить свой ответ

Еще вопросы

Войти через Google

или

Забыли пароль?

У меня нет аккаунта, я хочу Зарегистрироваться

How much to ban the user?
1 hour 1 day 100 years