• Пожалуйста помогите решить пример! Буду очень благодарен!!!

    question img

Ответы 1

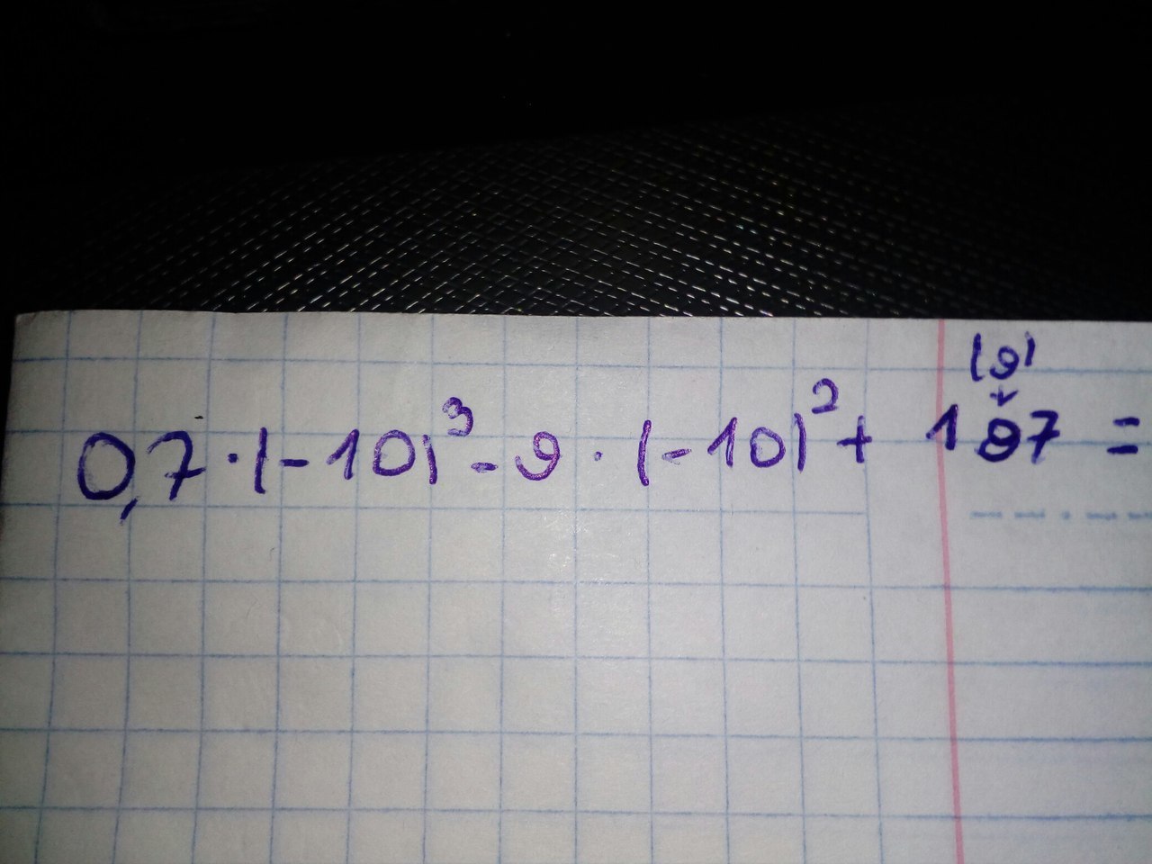
  • 0,7*(-10)^3-9*(-10)^2+197=(-10)^2(0.7(-10)-9)+197=100(-7-9)+197=-1600+197= -1403
  • Добавить свой ответ

Войти через Google

или

Забыли пароль?

У меня нет аккаунта, я хочу Зарегистрироваться

How much to ban the user?
1 hour 1 day 100 years