• Иррациональные уравнения. Срочно пожалуйста! Кто нибудь. Срочно. 

    question img

Ответы 1

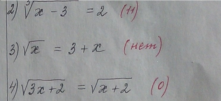
  • ∛(х-3)=2∛(х-3)³=2³х-3=8х=11√х=3+х√х²=(3+х)²х=9+6х+х²х²+5х+9=0D=25- 36=-11 < 0  решений нет√(3x+2) =√(x+2)3x+2=x+22x=0x=0
    • Автор:

      angel527
    • 6 лет назад
    • 0
  • Добавить свой ответ

Войти через Google

или

Забыли пароль?

У меня нет аккаунта, я хочу Зарегистрироваться

How much to ban the user?
1 hour 1 day 100 years