• Вычислите пределы, не используя правило Лопита-

    ля.

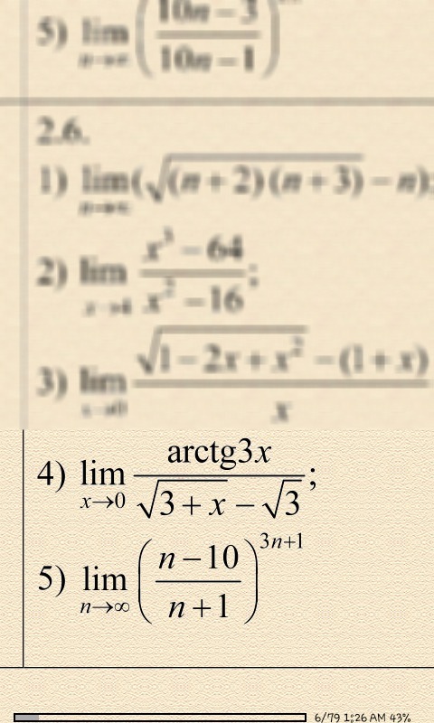
    question img

Ответы 1

  • Посмотрите предложенное решение. В первом примере использовалась одна из эквивалентностей, во втором - второй замечательный.Зачёркивание во второй строке не есть действительное, записи в квадратных скобках не являются обязательными, но пояснительными.
    answer img
    • Автор:

      dummytych
    • 6 лет назад
    • 0
  • Добавить свой ответ

Войти через Google

или

Забыли пароль?

У меня нет аккаунта, я хочу Зарегистрироваться

How much to ban the user?
1 hour 1 day 100 years