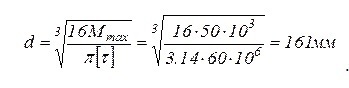
• Ребята объясните как считать это?
    Как и что сократилось чтобы получилось 161???
    Калькулятором так не посчитать а в ручную не умею

    question img
    question img

Ответы 1

  • !!!!!!!!!!!!!!!!!!!!!!!!!!!!!!
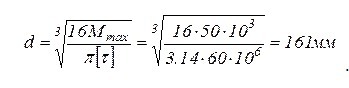
    answer img
    • Автор:

      buddyrose
    • 6 лет назад
    • 0
  • Добавить свой ответ

Войти через Google

или

Забыли пароль?

У меня нет аккаунта, я хочу Зарегистрироваться

How much to ban the user?
1 hour 1 day 100 years