• Пожалуйста, помогите с решением уравнения и системы
    даю 45 баллов!

    question img
    question img

Ответы 2

  • Написала, ответ в закреплении
    answer img
    • Автор:

      rafael435
    • 6 лет назад
    • 0
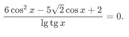
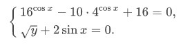
  • 1{16^cosx-10*4^cosx+16=0  (1){√y+2sinx=0  (2)1)4^cosx=tt²-10t+16=0T1+t2=10 U t1*t2=16t1=8⇒2^2cosx=3⇒cosx=1,5>1 нет решенияt2=2⇒2^2cosx=1⇒cosx=1/2⇒x=-π/3 U cosx=π/3sinx=√(1-cos²x)=+-√(1-1/4)=+-√3/22)√y+2*(-√3/2)=0⇒√y=√3⇒y=3√y+2*√3/2=0⇒√y=-√3 нет решенияОтвет (-π/3+2πk,k∈z;3)2ОДЗ   lgtgx≠0⇒tgx≠1⇒x≠π/4+πk,k∈zcosx=t6t²-5√2t+2=0D=50-48=2t1=(5√2-√2)/12=√2/3⇒cosx=√2/3⇒x=+-arccos√2/3+2πk,k∈zt2=(5√2+√2)/12=√2/2⇒cosx=√2/2x=-π/4+2πk,k∈z U x=π/4+2πk,k∈z не удов ОДЗОтвет x={-π/4+2πk,k∈z ;+-arccos√2/3+2πk,k∈z}
    answer img
  • Добавить свой ответ

Войти через Google

или

Забыли пароль?

У меня нет аккаунта, я хочу Зарегистрироваться

How much to ban the user?
1 hour 1 day 100 years