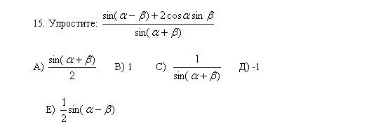
• Упростите выражение (см фото)
    С решением пожалуйста

    question img

Ответы 1

  • \frac{\sin(a-b)+2\cos a\sin b}{\sin(a+b)}=
\frac{\sin a\cos b-\cos a \sin b+2\cos a\sin b}{\sin(a+b)}==\frac{\sin a\cos b+\cos a\sin b}{\sin(a+b)}=\frac{\sin(a+b)}{\sin(a+b)}=1
    • Автор:

      arturo63
    • 6 лет назад
    • 0
  • Добавить свой ответ

Войти через Google

или

Забыли пароль?

У меня нет аккаунта, я хочу Зарегистрироваться

How much to ban the user?
1 hour 1 day 100 years