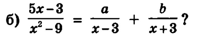
• При каких значениях a и b выполняется тождество?

    question img

Ответы 1

  • 3a-3b=-3ax+bx=5xa-b=-1a+b=5те:а=2b=3
    • Автор:

      kasey14
    • 6 лет назад
    • 0
  • Добавить свой ответ

Войти через Google

или

Забыли пароль?

У меня нет аккаунта, я хочу Зарегистрироваться

How much to ban the user?
1 hour 1 day 100 years