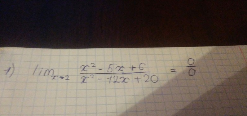
• 1) Предел

    lim = x^2-5x+6
    x - 2 x^2-12x+20. Получается 0/0, но что дальше делать непонятно.


    question img

Ответы 1

  • (х²-5х+6)\(х²-12х+20) при х  стремящимся  к  2  Т  к  обе  функции  существуют  и  непрерывны  в  т  х=2,  то  можно  представить  их в  виде  произведения  множителей  с  корнями  соответствующих  квадратных  уравнений: (х-2)(х-3)\(х-2)(х-10)=х-3\х-10,  что  при подставлении х=2 дает(2-3)\(2-10)=1\8=0,125
    • Автор:

      ramirez
    • 5 лет назад
    • 0
  • Добавить свой ответ

Войти через Google

или

Забыли пароль?

У меня нет аккаунта, я хочу Зарегистрироваться

How much to ban the user?
1 hour 1 day 100 years