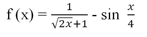
• Найти первообразную функции, график которой проходит через начало координат
    (функция на скрине)
    заранее спасибо

    question img

Ответы 6

  • извините, а что такое "In"? а то я совсем слабо шарю
  • логарифм по натуральному основанию. натуральное число е=2,7 обозначается ln
  • есть ещё десятичной логарифм обозначается lg
    • Автор:

      panda14
    • 6 лет назад
    • 0
  • а обычный логарифм log
    • Автор:

      ortiz73
    • 6 лет назад
    • 0
  • все, понял. спасибо вам большое)
    • Автор:

      conner
    • 6 лет назад
    • 0
  • первообразная: 1/2*ln(√2x+1)+4*cos(x/4)+cнайдем с: 0=4+с с=-4получаем F(x)=1/2*ln(√2x+1)+4*cos(x/4)-4
    • Автор:

      rambo61
    • 6 лет назад
    • 0
  • Добавить свой ответ

Войти через Google

или

Забыли пароль?

У меня нет аккаунта, я хочу Зарегистрироваться

How much to ban the user?
1 hour 1 day 100 years