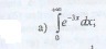
• вычислить несобственный интеграл или доказать его расходимость, пожалуйста?

    question img

Ответы 1

  •  \int\limits^{+\infty}_0 {e^{-3x}} \, dx = - \frac{1}{3} \int\limits^{+\infty}_0 {e^{-3x}} \, d(-3x) = - \frac{1}{3} \lim_{b \to +\infty}  (e^{-3x}) \ |^b_0=\\ \\ =- \frac{1}{3} \lim_{b \to +\infty}  (e^{-3b}-e^0) =- \frac{1}{3} \lim_{b \to +\infty}  ( \frac{1}{e^{3b} }-1)=- \frac{1}{3} (\frac{1}{+\infty }-1)= \\ \\ =- \frac{1}{3}(0-1)= \frac{1}{3}
  • Добавить свой ответ

Войти через Google

или

Забыли пароль?

У меня нет аккаунта, я хочу Зарегистрироваться

How much to ban the user?
1 hour 1 day 100 years