• РЕБЯТА СРОЧНО ПОМГИТЕ ПОЖАЛУЙСТА ОЧЕНЬ ПРОШУ
    РЕШЕНИЕ ПОЛНОСТЬЮ

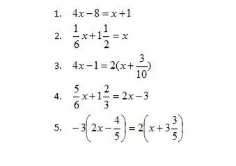
    question img

Ответы 2

  • СПАСИБО БОЛЬШОЕ!!!
    • Автор:

      jefferson
    • 6 лет назад
    • 0
  • 1)   4х-х=1+83х=9 ; х=32)1/6х-х=-1 1/2-5/6х=-3/2х=5/93)4х-1=2х+6/104х-2х=6/10+12х=8/10=0,84)5/6х-2х=-3-1 2/3х(5/6-2)=1 1/3-1 1/6х=1 1/3-7/6х=4/3х=  -8/7=-1 1/75)-6х+12/5=2х+36/5-6х-2х=-12/5+36/5-8х=7 1/5-2 2/5=4 4/5х=    -24/5:8=-3/5
  • Добавить свой ответ

Войти через Google

или

Забыли пароль?

У меня нет аккаунта, я хочу Зарегистрироваться

How much to ban the user?
1 hour 1 day 100 years