• Помогите решить пожалуйста,любой пример.
    Очень нужно

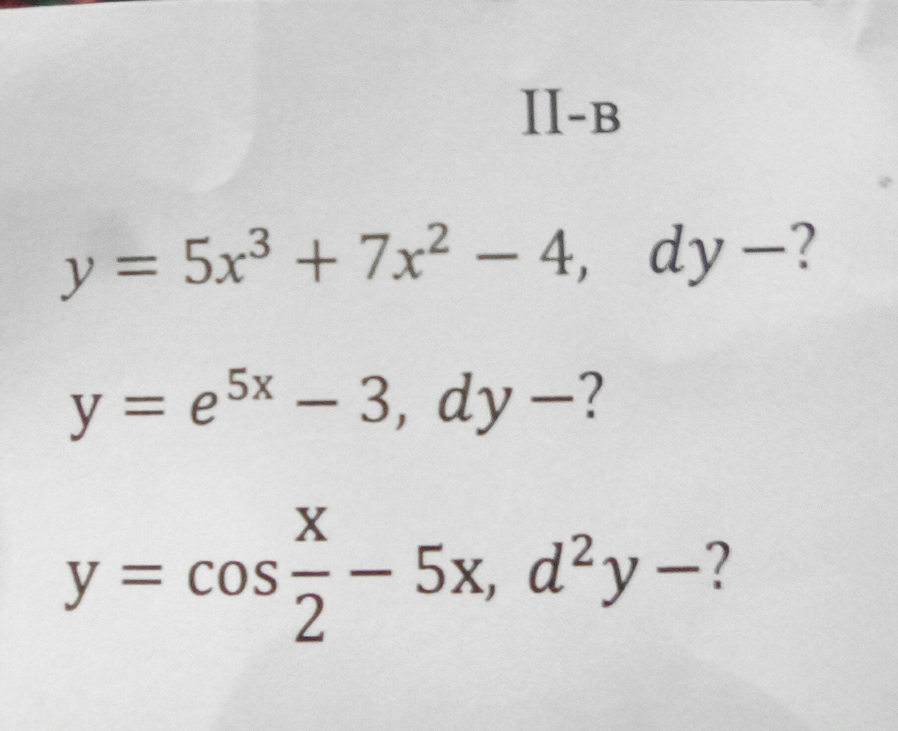
    question img

Ответы 1

  • 1)  y = 5x^3 + 7x^2 - 4;dy = y ' dx,  где  y ' - производная по x y ' = 5*3*x^2 + 7*2*x  - 0 = 15x^2 + 14xdy = (15x^2 + 14x) dx2)  y = e^5x - 3 y ' = 5*e^5x - 0 = 5e^5xdy = 5e^5x dx3)  d^2y = y '' d^2x,  где y '' - вторая производная по xy ' = (cos(x/2)) ' - (5x) '  = (1/2)*( - sin(x/2)) - 5  y ' '  =  ((1/2)*( - sin(x/2))) - 0 =  - (1/4)*cos(x/2)d^2y  =  -  (1/4)*cos(x/2) d^2x
    • Автор:

      mylie
    • 6 лет назад
    • 0
  • Добавить свой ответ

Войти через Google

или

Забыли пароль?

У меня нет аккаунта, я хочу Зарегистрироваться

How much to ban the user?
1 hour 1 day 100 years