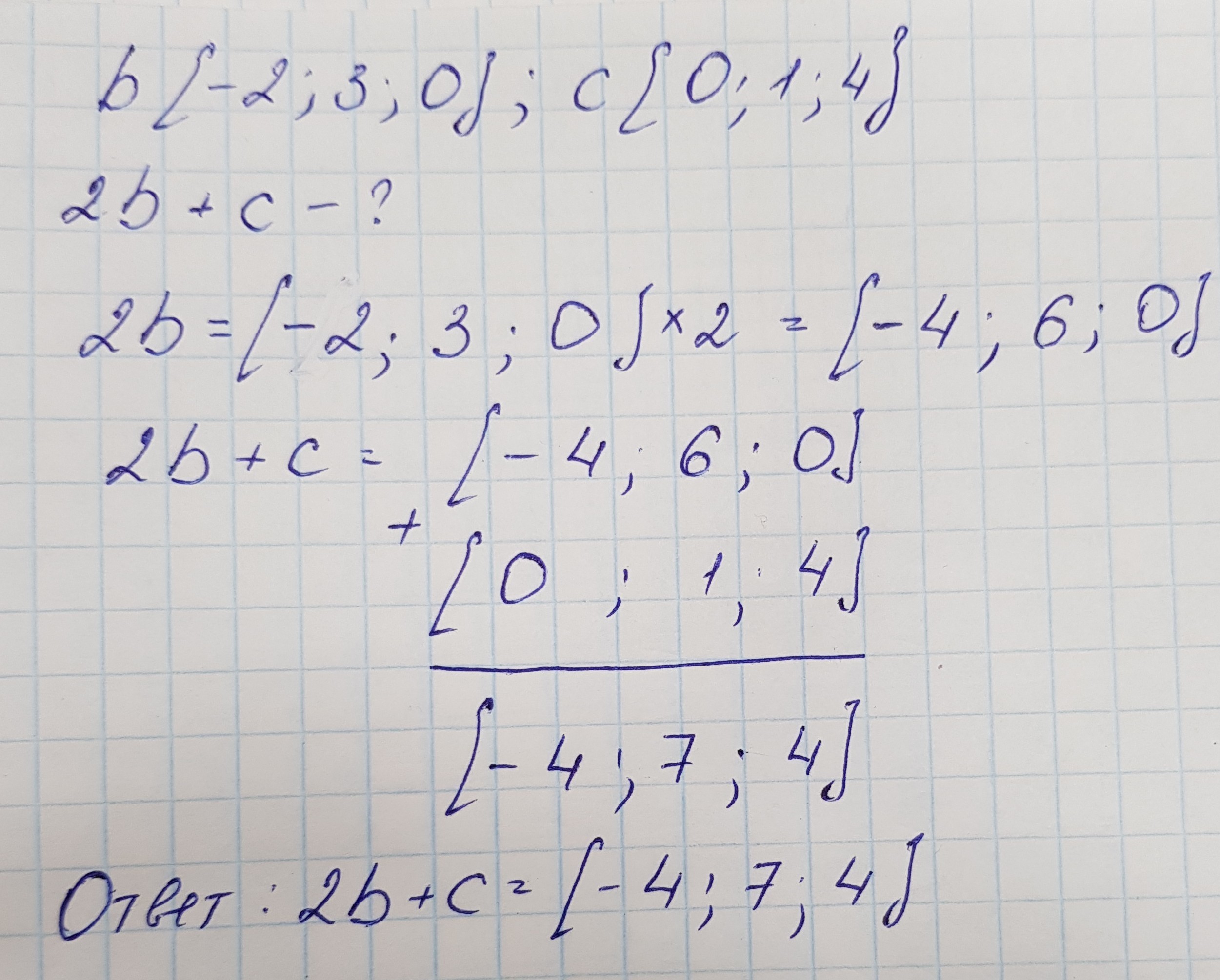
• Дано: вектор b {-2;3;0} , вектор с {0;1;4}
    Вычислите длину вектора 2 вектор b + вектор с

Ответы 1

  • Просто нужно домножить координаты вектора b на 2 и прибавить полученные координаты к координатам вектора a.
    answer img
  • Добавить свой ответ

Войти через Google

или

Забыли пароль?

У меня нет аккаунта, я хочу Зарегистрироваться

How much to ban the user?
1 hour 1 day 100 years