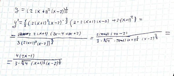
• Найдите ошибку в нахождении производной, ну если не сложно то решите.

    question img

Ответы 1

  • Спасибо!
    • Автор:

      holmes
    • 6 лет назад
    • 0
  • Добавить свой ответ

Войти через Google

или

Забыли пароль?

У меня нет аккаунта, я хочу Зарегистрироваться

How much to ban the user?
1 hour 1 day 100 years