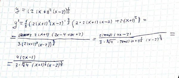
• помогите найти производную, найдите ошибку в решении.

    question img

Ответы 1

  • Спасибо!
    • Автор:

      houston55
    • 5 лет назад
    • 0
  • Добавить свой ответ

Войти через Google

или

Забыли пароль?

У меня нет аккаунта, я хочу Зарегистрироваться

How much to ban the user?
1 hour 1 day 100 years