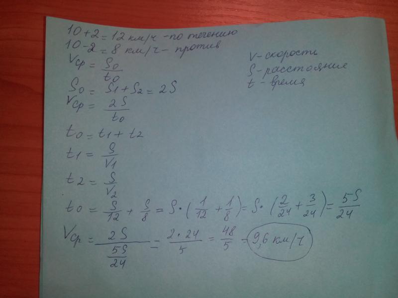
• Собственная скорость теплохода равна 10 км/ч, скорость течения реки равна 2 км/ч. Теплоход проплыл от одной пристани до другой и вернулся обратно. Найдите среднюю скорость теплохода на протяжении всего пути. Ответ в км/ч.

    Почему ответ не 10 ?? Логично же 10 км/ч!
    Куда 0,4 км/ч делись ??

    question img

Ответы 3

  • Когда у тебя получается 10 км/ч ты не учитываешь фактор времени и поэтому это неправильный ответ
    • Автор:

      abel4tcu
    • 6 лет назад
    • 0
  • Спасибо!
    • Автор:

      dear
    • 6 лет назад
    • 0
  • Средняя скорость = (2*12*8)/(12+8)=192/20=9,6 км/ч
    • Автор:

      tanner63
    • 6 лет назад
    • 0
  • Добавить свой ответ

Войти через Google

или

Забыли пароль?

У меня нет аккаунта, я хочу Зарегистрироваться

How much to ban the user?
1 hour 1 day 100 years