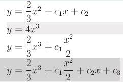
• Общим решением дифференциального уравнения y′′′ = 4 является ?
    (нужно выбрать одно из четырёх, указанных на приложенном рисунке).



    question img

Ответы 5

  • Решение верное. Даже по виду представленных ответов ясно, что кроме №4 никакой другой ответ не годится, т.к. решение дифф.ур. 3 порядка в ответе должно иметь три константы ( только в №4 есть три const).
  • Пусть преподаватель попробует объяснить, что "неверно" в этом ответе...
    • Автор:

      georgina
    • 6 лет назад
    • 0
  • Я "ЗА" на все 100%. Просто сомневаюсь в своей сообразительности. А раз все со мной согласны - значит, в тесте ошибка. Спасибо.
    • Автор:

      cobweb
    • 6 лет назад
    • 0
  • В тесте, как я понимаю, не один пример, поэтому неверный ответ может быть не в этом примере.
  • Невозможно, могу выложить весь вариант с ответами.
  • Добавить свой ответ

Еще вопросы

Войти через Google

или

Забыли пароль?

У меня нет аккаунта, я хочу Зарегистрироваться

How much to ban the user?
1 hour 1 day 100 years