• Почему здесь дроби складываются, хотя между ними стоит знак деления(дробь), если по правилам деления дробей они должны вычитаться? Плюс был бы, если между ними было бы умножение(это мое мнение)

    question img

Ответы 8

  • спасибо значит я неправильно думал что тут две дроби, тут одна дробь с одинаковым знаменателем
  • всё нормально, просто знак ты не поменял
    • Автор:

      lynxmsnr
    • 6 лет назад
    • 0
  • я вспомнил правило (a/b)^m=a^m/b^m
    • Автор:

      landen242
    • 6 лет назад
    • 0
  • а я пользовался правилом a^m/a^n=a^m-a^n
    • Автор:

      noe
    • 6 лет назад
    • 0
  • а ну да я снова все перепутал, правило которым я изначально пользовался правильное
    • Автор:

      masonking
    • 6 лет назад
    • 0
  • да я просто забыл что там два минуса превращаются плюс
    • Автор:

      deegan
    • 6 лет назад
    • 0
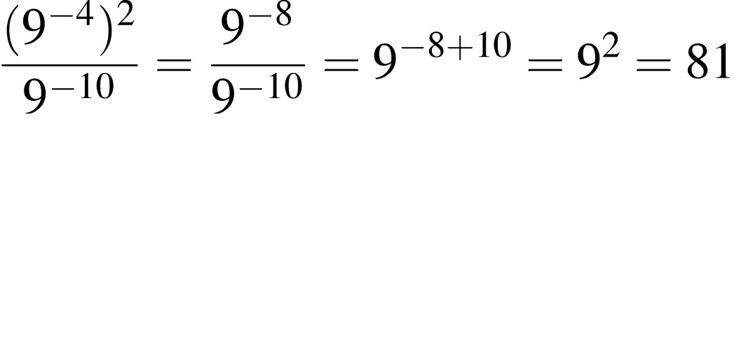
  • Потому что там выполняется действие 9^-8:9^-10 = 9^-8-(-10)перед -10 стоит ещё минус, значит знак у числа меняется на противоположный, получается:9^-8+10=9²=81
  • (9^(-4))²/(9^(-10)) = (9^(-8))/(9^(-10)) = 9^(-8-(-10)) = 9^(-8+10) = 9² = 81При делении степени вычитаются, т.е. из степени числителя вычитается степень знаменателя. В данном случае мы из -8 вычитаем -10 и получаем: -8 - (-10) = -8 + 10 = 2.
    • Автор:

      marcial
    • 6 лет назад
    • 0
  • Добавить свой ответ

Войти через Google

или

Забыли пароль?

У меня нет аккаунта, я хочу Зарегистрироваться

How much to ban the user?
1 hour 1 day 100 years