• Прошу помогите решить!МЕТОДОМ КРАМЕРА
    прошу пожалуйста,полностью написать решение,не только одни ответы
    Заранее БОЛЬШОЕ СПАСИБО ЗА ПОМОЩЬ И РЕШЕНИЕ!

    question img

Ответы 1

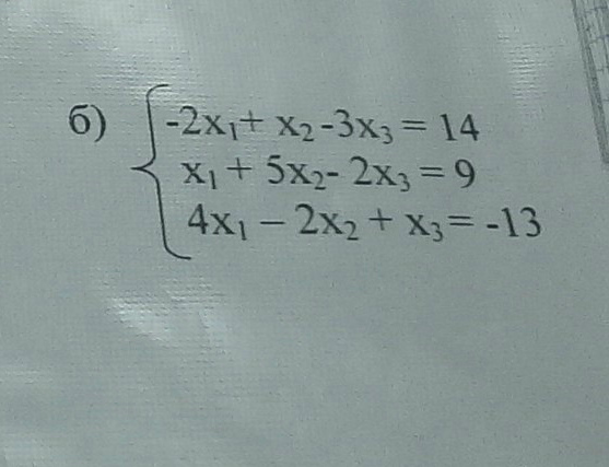
  •   \left\{\begin{array}{c}-2x_1+x_2-3x_3=14\\x_1+5x_2-2x_3=9\\4x_1-2x_2+x_3=-13\end{array}ight \\\\\\\Delta =\left|\begin{array}{ccc}-2&1&-3\\1&5&-2\\4&-2&1\end{array}ight|=-2(5-4)-(1+8)-3(-2-20)=55\\\\\\\Delta_1=\left|\begin{array}{ccc}14&1&-3\\9&5&-2\\-13&-2&1\end{array}ight|=14(5-4)-(9-26)-3(-18+65)=-110\\\\\\\Delta _2=\left|\begin{array}{ccc}-2&14&-3\\1&9&-2\\4&-13&1\end{array}ight|=-2(9-26)-14(1+8)-3(-13-36)=55\Delta _3=  \left|\begin{array}{ccc}-2&1&14\\1&5&9\\4&-2&-13\end{array}ight|=-2(-65+18)-(-13-36)+\\\\+14(-2-20)=-165\\\\x_1=\frac{\Delta _1}{\Delta }=\frac{-110}{55}=-2\\\\x_2=\frac{\Delta _2}{\Delta }=\frac{55}{55}=1\\\\x_3=\frac{\Delta _3}{\Delta }=\frac{-165}{55}=-3
  • Добавить свой ответ

Войти через Google

или

Забыли пароль?

У меня нет аккаунта, я хочу Зарегистрироваться

How much to ban the user?
1 hour 1 day 100 years