• Помогите решить, производную функцию найти,
    можно без каких либо объяснений, заранее спасибо

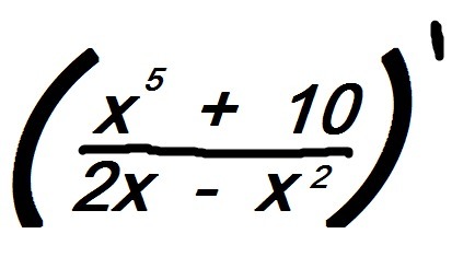
    question img

Ответы 2

  • у тебя решения нет? у меня по другому вышло
    • Автор:

      wilcox
    • 6 лет назад
    • 0
  • Х^10+20Х^5+100/(2Х-Х^2)^2
    • Автор:

      steven599
    • 6 лет назад
    • 0
  • Добавить свой ответ

Еще вопросы

Войти через Google

или

Забыли пароль?

У меня нет аккаунта, я хочу Зарегистрироваться

How much to ban the user?
1 hour 1 day 100 years