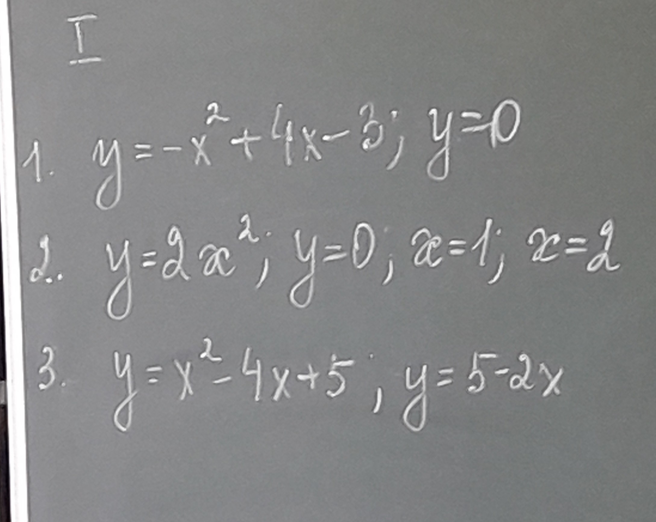
• Сделайте плиз очень срочно,
    там тип вычислить площадь фигуры сделав рисунок

    question img

Ответы 1

  • Не поняла что за площадь там у тебя, но уравнение первое решается так: -x^2 + 4x - 3 = 0X^2 - 4x +3 = 0По теореме виета x1 + x2 = 4x1 * x2 = 3 получаем: x1 = 1 x2 = 3
    • Автор:

      alfie
    • 6 лет назад
    • 0
  • Добавить свой ответ

Войти через Google

или

Забыли пароль?

У меня нет аккаунта, я хочу Зарегистрироваться

How much to ban the user?
1 hour 1 day 100 years