Ответы 6

  • должно быть -3 ?
    • Автор:

      finn155
    • 6 лет назад
    • 0
  • это -3 числитель или -4 знаменатель должен быть?
    • Автор:

      bitsy
    • 6 лет назад
    • 0
  • минус по середине, но если принципиально, то -3
    • Автор:

      finn155
    • 6 лет назад
    • 0
  • спасибо
    • Автор:

      edgar40
    • 6 лет назад
    • 0
  • пожалуйста
    • Автор:

      finn155
    • 6 лет назад
    • 0
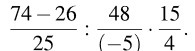
  • =48/25*(-5)/48*15/4=-3/4
    • Автор:

      finn155
    • 6 лет назад
    • 0
  • Добавить свой ответ

Еще вопросы

Войти через Google

или

Забыли пароль?

У меня нет аккаунта, я хочу Зарегистрироваться

How much to ban the user?
1 hour 1 day 100 years