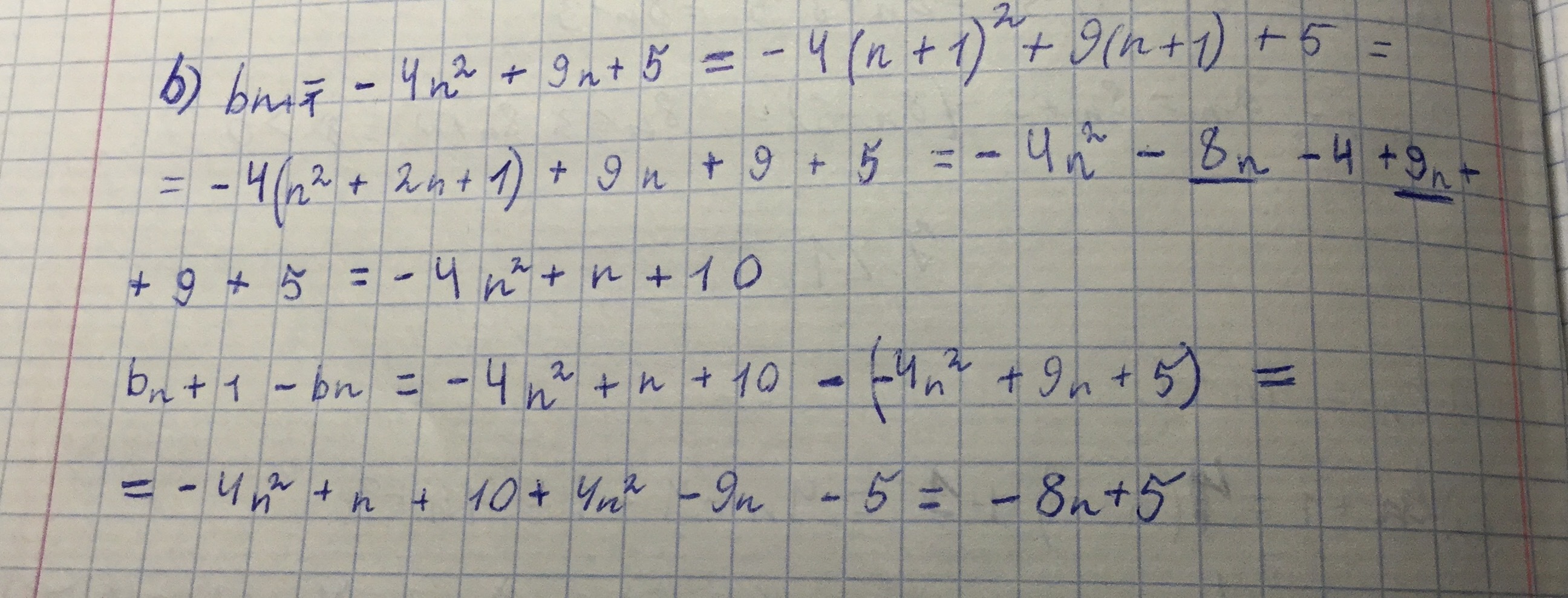
• Проверьте мое решение . Формула последовательности была -4n^2+9n+5
    Надо было доказать, что последовательность убывает. Отнять от dn dn+1

    question img

Ответы 2

  • Спасибо
    • Автор:

      gael351
    • 6 лет назад
    • 0
  • Всё правильно. Дальше надо сказать, что n€N, то есть n=1,2,3....Видно, что начиная с n=1 (- 8n+5) отрицательное, то есть ты из меньшего вычитаешь большее. То есть bn>bn+1, последовательность убывает
    • Автор:

      rodrigo74
    • 6 лет назад
    • 0
  • Добавить свой ответ

Войти через Google

или

Забыли пароль?

У меня нет аккаунта, я хочу Зарегистрироваться

How much to ban the user?
1 hour 1 day 100 years