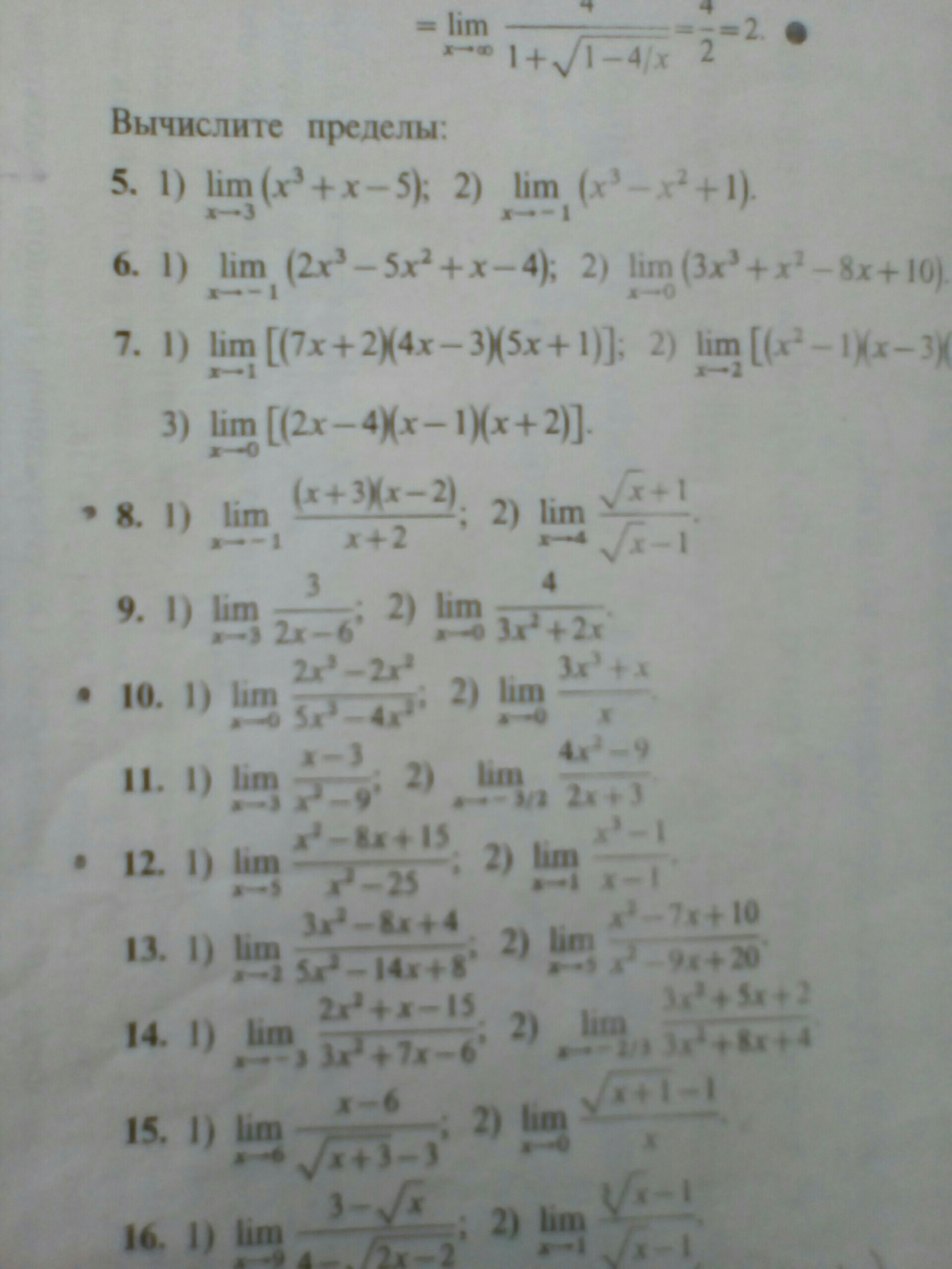
• помогите с вычислением пределов,плиз 8,10,12 под цифрами 1

    question img

Ответы 1

  • \LARGE \\ 8) \lim_{x\to{-1}}{(x+3)(x-2)\over x+2}={(-1+3)(-1-2)\over -1+2}=-{6\over1}=-6\\\\ 10)\lim_{x\to{0}}{2x^3-2x^2\over5x^3-4x^2}=2\lim_{x\to{0}}{x^2(x-1)\over x^2(5x-4)}=2\lim_{x\to{0}}{x-1\over 5x-4}=2\cdot{1\over4}={1\over2}\\\\ 12)\lim_{x\to{5}}{x^2-8x+15\over x^2-25}=\begin{vmatrix} x^2-8x+15=0\\ x_1=3, x_2=5 \end{vmatrix}=\lim_{x\to{5}}{(x-3)(x-5)\over(x-5)(x+5)}=\lim_{x\to{5}}{x-3\over x+5}={2\over10}={1\over5}
    • Автор:

      bonesgfbs
    • 6 лет назад
    • 0
  • Добавить свой ответ

Войти через Google

или

Забыли пароль?

У меня нет аккаунта, я хочу Зарегистрироваться

How much to ban the user?
1 hour 1 day 100 years