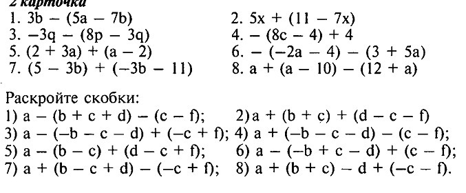
• Раскрыть скобки
    Картинка приложена 

    question img

Ответы 1

  • 1)a-(b+c+d)-(c-f)=a-b-c-d-c+f=a-b-2c-d+f2)a+(b+c)+(d-c-f)=a+b+c+d-c-f=a+b+d-f3)a-(-b-c-d)+(-c+f)=a+b+c+d-c+f=a+b+d+f4)a+(-b-c-d)-(c-f)=a-b-c-d-c+f=a-b-2c-d+f5)a-(b-c)+(d-c+f)=a-b+c+d-c+f=a-b+d+f6)a-(-b+c-d)+(c-f)=a+b-c+d+c-f=a+b+d-f7)a+(b-c+d)-(-c+f)=a+b-c+d+c-f=a+b+d-f8)a+(b+c)-d+(-c-f)=a+b+c-d-c-f=a+b-d-f
    • Автор:

      marcjnxv
    • 6 лет назад
    • 0
  • Добавить свой ответ

Войти через Google

или

Забыли пароль?

У меня нет аккаунта, я хочу Зарегистрироваться

How much to ban the user?
1 hour 1 day 100 years