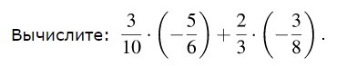
• Вычислите!!!!!!!!!!!!!!!!!!!!!!!!!!!!!!!!!!!!
    Где написать минус у числителя или знаменателя

    question img

Ответы 1

  • Ответ: -1/2 или -0,5)
  • Добавить свой ответ

Войти через Google

или

Забыли пароль?

У меня нет аккаунта, я хочу Зарегистрироваться

How much to ban the user?
1 hour 1 day 100 years