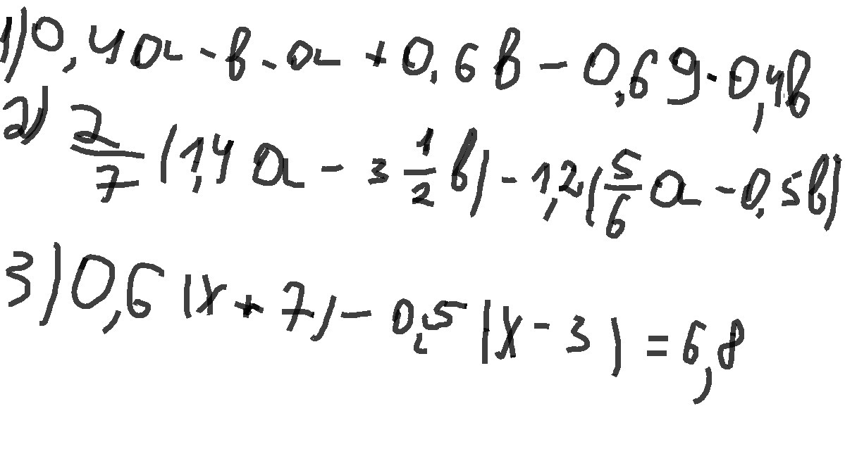
• 1-простой пример
    2-раскрытие скобок
    3-уравнение
    помогите пожалуйста

    question img

Ответы 1

  • 1.-0,6а-0,8b+0,692.на картинке3. X=11
    • Автор:

      kodazewt
    • 6 лет назад
    • 0
  • Добавить свой ответ

Войти через Google

или

Забыли пароль?

У меня нет аккаунта, я хочу Зарегистрироваться

How much to ban the user?
1 hour 1 day 100 years