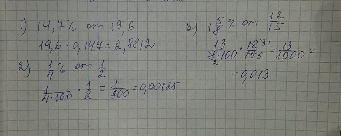
• Сколько процентов составляет
    14.7% от 19.6
    1/4% от 1/2
    1 5/8% от 12/15
    Помогите пожалуйста

Ответы 1

  • решение задания смотри на фотографии
    answer img
    • Автор:

      bully8ybs
    • 2 года назад
    • 1
  • Добавить свой ответ

Войти через Google

или

Забыли пароль?

У меня нет аккаунта, я хочу Зарегистрироваться

How much to ban the user?
1 hour 1 day 100 years