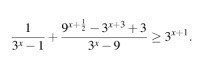
• 1/3^(x) - 1 + 9^(x+1/2) - 3^(x+3) +3 / 3^(x) - 9 ≥ 3^(x+1)

    question img

Ответы 1

  • ну тип так (решал в спешке может быть не правельно что то)
    answer img
  • Добавить свой ответ

Еще вопросы

Войти через Google

или

Забыли пароль?

У меня нет аккаунта, я хочу Зарегистрироваться

How much to ban the user?
1 hour 1 day 100 years