• Помогите решить!!!
    Нужно найти число, вместо которого стоит знак вопроса!
    Любым способом, который подходит для 6 класса

    question img

Ответы 6

  • Каким образом нашли тогда два первых числа?
    • Автор:

      cirocole
    • 6 лет назад
    • 0
  • Они были уже даны
    • Автор:

      rambo0ixg
    • 6 лет назад
    • 0
  • А слева что написано?
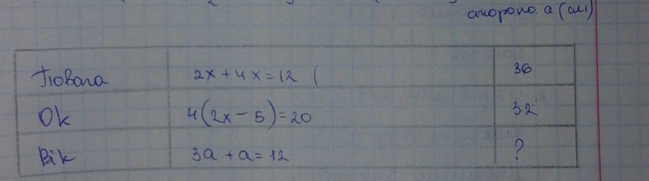
  • Повага, Ок, вiк =уважение, ок, возраст
  • Что такое ОК я не знаю
    • Автор:

      byrd
    • 6 лет назад
    • 0
  • 3а + а = 124а = 12а = 12 : 4а = 3Ответ: 3
  • Добавить свой ответ

Войти через Google

или

Забыли пароль?

У меня нет аккаунта, я хочу Зарегистрироваться

How much to ban the user?
1 hour 1 day 100 years