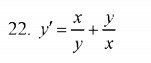
• Найти общее решение уравнения ( Однородные дифференциальные уравнения первого порядка

    question img

Ответы 4

  • спасибо
    • Автор:

      preston31
    • 6 лет назад
    • 0
  • можешь ещё один глянуть? если не трудно https://znanija.com/task/28736066
    • Автор:

      bluelavf
    • 6 лет назад
    • 0
  • Уже решили его
    • Автор:

      finnle
    • 6 лет назад
    • 0
  • Решение на фотографии
    answer img
    • Автор:

      marrcvb
    • 6 лет назад
    • 0
  • Добавить свой ответ

Войти через Google

или

Забыли пароль?

У меня нет аккаунта, я хочу Зарегистрироваться

How much to ban the user?
1 hour 1 day 100 years