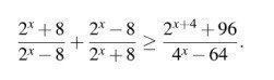
• 2^(x)+8/2^(x)-8 + 2^(x)-8/2^(x)+8 ≥ 2^(x+4)+96/4^(x)-64

    question img

Ответы 1

  • 2^(x)+8/2^(x)-8 + 2^(x)-8/2^(x)+8 ≥ 2^(x+4)+96/4^(x)-64x≠32^x+8/2^x-8 + 2^x-8/2^x+8 ≥ 2^x*2^4+96/(2^2)^x-642^x+8/2^x-8 + 2^x-8/2^x+8 ≥ 2^x*2^4+96/t^2-64t∈(-∞; -8)∪(8; +∞)∪{4}2^x∈(-∞; -8)∪(8; +∞)∪{4}2^x<-82^x>82^x=4x∉0x>3x=2x∈(3; +∞)∪{2}
    • Автор:

      amigoozwu
    • 2 года назад
    • 11
  • Добавить свой ответ

Войти через Google

или

Забыли пароль?

У меня нет аккаунта, я хочу Зарегистрироваться

How much to ban the user?
1 hour 1 day 100 years