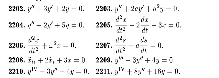
• Помощь с математикой! Желательно с пометками, что было понятнее. -линейные неоднородные дифференциальные уравнения. Благодарю.

    question img

Ответы 1

  • Посмотрите решение для нескольких ДУ.
    answer img
    • Автор:

      rosebud
    • 6 лет назад
    • 0
  • Добавить свой ответ

Войти через Google

или

Забыли пароль?

У меня нет аккаунта, я хочу Зарегистрироваться

How much to ban the user?
1 hour 1 day 100 years