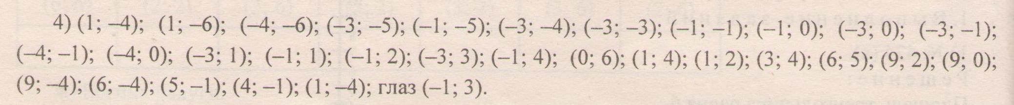
• По координатам нужно составить рисунок. Помогите пожалуйста! Очень нужно!

    question img

Ответы 3

  • Спасибо!
  • Не за что!
  • Не за что,обращайся :-)
    • Автор:

      esteban
    • 6 лет назад
    • 0
  • Добавить свой ответ

Войти через Google

или

Забыли пароль?

У меня нет аккаунта, я хочу Зарегистрироваться

How much to ban the user?
1 hour 1 day 100 years