• Ещё раз привет! Я просто не думала что на столько тупа! Спасибо!

    question img

Ответы 1

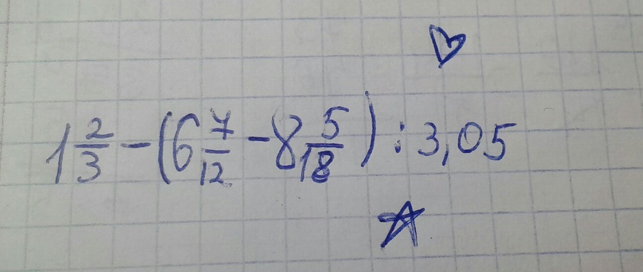
  • 5/3-(79/12-149/18):3,05=5/3-(1422-1788)/216:3,05=5/3+183/108:3,05=(180/108+183/108):3,05=363/108:3,05=121/36:3,05=121/36:35/10=131/36*10/35=31/16*1/7=31/112
    • Автор:

      yoda
    • 6 лет назад
    • 0
  • Добавить свой ответ

Еще вопросы

Войти через Google

или

Забыли пароль?

У меня нет аккаунта, я хочу Зарегистрироваться

How much to ban the user?
1 hour 1 day 100 years