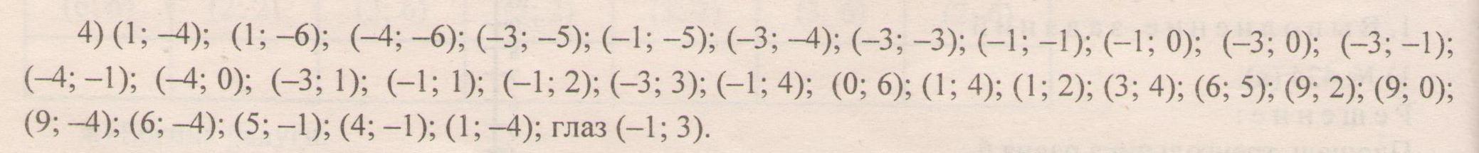
• координатная плоскость помогите плиз белка должна получится

    question img

Ответы 1

  • 1;-41;-6-4;-6-3;-5-1;-5-3;-4-3;-3-1;-1-1;0-3;0-3;-1-4;-1-4;0-3;1-1;1-1;2-3;3-1;40;61;41;23;46;59;29;09;-46;-45;-14;-11;-4
    answer img
    • Автор:

      beanswood
    • 6 лет назад
    • 0
  • Добавить свой ответ

Войти через Google

или

Забыли пароль?

У меня нет аккаунта, я хочу Зарегистрироваться

How much to ban the user?
1 hour 1 day 100 years