• Как так получилось ?
    Какое правило ? Подробно!

    question img

Ответы 1

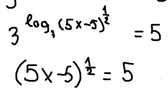
  • Основное логарифмическое тождество (картинка):a=3b=(5x-5)^1/2
    answer img
  • Добавить свой ответ

Войти через Google

или

Забыли пароль?

У меня нет аккаунта, я хочу Зарегистрироваться

How much to ban the user?
1 hour 1 day 100 years