• помогите решить задачу:
    Выберите правильное утверждение

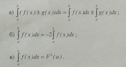
    question img

Ответы 1

  • а - это свойство определенного интеграла(верно)б - при смене пределов интегрирования("переворачивании") просто меняется знак, никакой "2" не должно быть(неверно)в - такой интеграл равен нулю(неверно)
  • Добавить свой ответ

Войти через Google

или

Забыли пароль?

У меня нет аккаунта, я хочу Зарегистрироваться

How much to ban the user?
1 hour 1 day 100 years