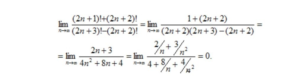
• Помогите умницы! Обьясните какие теоромы здесь использовали? Почему в втором шаге получилась 1?

    question img

Ответы 6

  • то что там делят на n, это сложно как-то)) ну лично для меня , я это не понимал никогда, я просто смотрел где высшая степень и какие при ней коэффициенты и потом делил это все и все))
    • Автор:

      grant
    • 6 лет назад
    • 0
  • предел постоянной (константы) равен этой константе. в вашем случае предел нуля равен нулю
  • я поняла, спасибо вам что так подробно
  • это вы в каком классе это проходите?
    • Автор:

      sweetie
    • 6 лет назад
    • 0
  • я этого изучала в 11ом или 12ом классе, сейчас только забывала и повторяла всё таки ))
    • Автор:

      yairfry
    • 6 лет назад
    • 0
  • Это просто разложили факториалы. Ты должен понимать что факториал (2n+1)! это 1*2*3*...*2n*(2n+1) (заметь без ! в конце). факториал (2n+2)! это тоже самое, что и (2n+1)! только домноженное на (2n+2). То есть 1*2*3*...*2n*(2n+1)*(2n+2). Аналогично с факториалом (2n+3)! в знаменателе , то есть ещё домноженное на (2n+3). В итоге сверху и снизу выносишь за скобку подобные слагаемые и сокращаешь их.
    answer img
    • Автор:

      kelley
    • 6 лет назад
    • 0
  • Добавить свой ответ

Войти через Google

или

Забыли пароль?

У меня нет аккаунта, я хочу Зарегистрироваться

How much to ban the user?
1 hour 1 day 100 years