• ?,,,,,,,,,,,,,,,,,,,,,,,,,,,,,,,,,,,,,,,,,,,,,,,,,,,,,,,,,,,,,,,,,,,,,,,,

    question img

Ответы 3

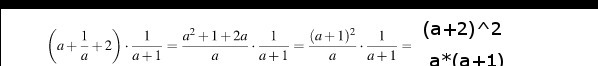
  • так понятней?
    • Автор:

      kenya
    • 6 лет назад
    • 0
  • да
    • Автор:

      monkey7
    • 6 лет назад
    • 0
  • = \frac{ (a+1)^{2} }{a*(a+1)} = \frac{ (a+1)(a+1)}{a*(a+1)}=\frac{ (a+1)}{a}
  • Добавить свой ответ

Войти через Google

или

Забыли пароль?

У меня нет аккаунта, я хочу Зарегистрироваться

How much to ban the user?
1 hour 1 day 100 years