• ПОМОГИТЕ ПОЖАЛУЙСТА!!! СРОЧНО!!!
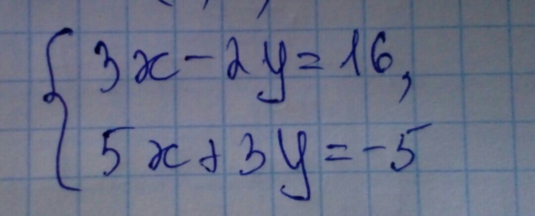
    Решить системы способом подстановки:
    3х-2у=16
    5х+3у=-5

    question img

Ответы 1

  • вот результат надеюсь помогла
    answer img
  • Добавить свой ответ

Войти через Google

или

Забыли пароль?

У меня нет аккаунта, я хочу Зарегистрироваться

How much to ban the user?
1 hour 1 day 100 years