• ВСЕМ ПРИВЕТ ДОРОГИЕ ДРУЗЬЯ!
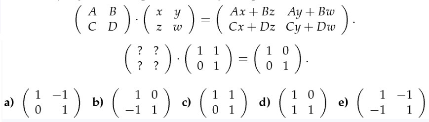
    Вопрос в том, как можно решить данную матрицу, не перебирая варианты? Есть ли какая нибудь формула? Перебором и сам могу!)

    question img

Ответы 1

  • Судя по тому, что у вас сверху написан закон умножения матриц, а равенстве справа написана единичная матрица, от вас хотят, чтобы вы нашли обратную матрицу, когда вы еще не проходили этого))Искомую матрицу запишите в виде 4 неизвестных элементовпо правилу сверху умножьте, кк у вас написано в равенствеПриравняйте поэлементно правой части равенстваполучите 4 уравнения на 4 неизвестных и решайте ихДолжны получить обратную матрицу, удачи)
    • Автор:

      ladykirk
    • 6 лет назад
    • 0
  • Добавить свой ответ

Войти через Google

или

Забыли пароль?

У меня нет аккаунта, я хочу Зарегистрироваться

How much to ban the user?
1 hour 1 day 100 years