• ПОЖАЛУЙСТА БЫСТРЕЙ СРОЧНО!!!!!!!


    УРАВНЕНИЕ Я ПРИБЛИЗИЛ!!!!СКОРЕЙ!!

    question img

Ответы 2

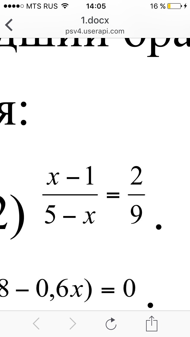
  • 9*(х-1)=2*(5-х)9х-9=10-2х9х+2х=10+911х=19х=19/11х=1 8/11проверка (1 8/11-1)/(5-1 8/11)=2/9                   8/11:3 3/11=2/9                    8/11*11/36=2/9                    2/9=2/9
    • Автор:

      oscar1ziv
    • 6 лет назад
    • 0
  • 9(x-1)=2(5-x)9x-9=10-2x9x+2x=10+911x=19x=19/111. Раскрыли модуль2. Перенесли слагаемое в другую часть уравнения3. Привели подобнве члены Вычислили сумму4. Разделили обе части уравнения на 115. Проверили, принадлежит ли решение области допустимых значений
  • Добавить свой ответ

Еще вопросы

Войти через Google

или

Забыли пароль?

У меня нет аккаунта, я хочу Зарегистрироваться

How much to ban the user?
1 hour 1 day 100 years