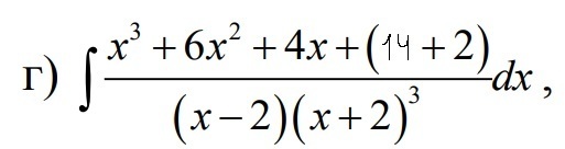
• решить методом разложения неопределенные коэффициенты

    question img

Ответы 2

  • Добавил само разложение на коэффициенты.
    • Автор:

      andreiyrv
    • 6 лет назад
    • 0
  • Пишите, если что-то непонятно.
    answer img
    • Автор:

      lovey23
    • 6 лет назад
    • 0
  • Добавить свой ответ

Еще вопросы

Войти через Google

или

Забыли пароль?

У меня нет аккаунта, я хочу Зарегистрироваться

How much to ban the user?
1 hour 1 day 100 years