• Помогите пожалуйста с уравнением?нужно очень надо.?

    question img

Ответы 2

  • Спасибо!
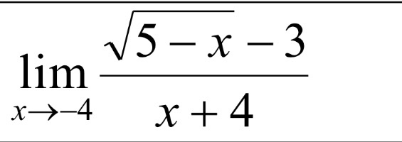
  •  \lim_{x \to -4} \frac{ \sqrt{5-x} -3 }{x + 4} = [ \frac{0}{0} ] =  \lim_{x \to -4} \frac{ ( \sqrt{5-x} -3)' }{(x + 4)'} =    \lim_{x \to -4} \frac{1}{2 \cdot \sqrt{5-x} } \frac{1}{2} \cdot \lim_{x \to -4} \frac{1}{\sqrt{5-x} } = \frac{1}{6}
    • Автор:

      rosario35
    • 6 лет назад
    • 0
  • Добавить свой ответ

Еще вопросы

Войти через Google

или

Забыли пароль?

У меня нет аккаунта, я хочу Зарегистрироваться

How much to ban the user?
1 hour 1 day 100 years