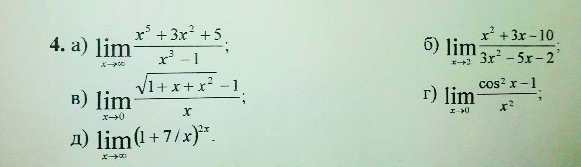
• Помогите решить пожалуйста пределы, даю 50 б. Плииииииз! Срочно!

    question img

Ответы 5

  • Да, спасибо. Но( мне Г) надо))
    • Автор:

      ziggy67
    • 6 лет назад
    • 0
  • я с этими косинусами сама мучаюсь. у меня тоже здесь вопрос висит на пределы. тоже проходим сейчас
  • поэтому извини, но г я решить не могу (((
  • ясно, спасибо и за это)
    • Автор:

      ladyq6gw
    • 6 лет назад
    • 0
  • а) ответ бесконечность. так как есть правило: если  в числителе наибольшая степень х (в данном случае х^5) больше наибольшей степени в знаменателе (в данном случае x^3), то ответ будет равен бесконечности
    answer img
    • Автор:

      haney
    • 6 лет назад
    • 0
  • Добавить свой ответ

Войти через Google

или

Забыли пароль?

У меня нет аккаунта, я хочу Зарегистрироваться

How much to ban the user?
1 hour 1 day 100 years