• Помогите с решением, пожалуйста, задания за 10 класс

    question img
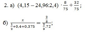
    question img
    question img

Ответы 3

  • А площадь треугольника в последнем?
    • Автор:

      babyeehv
    • 6 лет назад
    • 0
  • Не знаю.
  • !!!!!!!!!!!!!!!!!!!!!!!!!!!!
    answer img
    • Автор:

      jamarcoqr
    • 6 лет назад
    • 0
  • Добавить свой ответ

Войти через Google

или

Забыли пароль?

У меня нет аккаунта, я хочу Зарегистрироваться

How much to ban the user?
1 hour 1 day 100 years